The characteristic of Resistance




Resistors with 4 coloured rings

Below is the table with four colours resistance, including the values

COLORS 1ST RING 2ND RING 3RD RING 4TH  RING
Black

-

0

x 1 -
Brown 1 1 x 10 -
Red

2

2

x 100 -
Orange

3

3

x 1.000 -
Yellow

4

4

x 10.000 -
Green

5

5

x 100.000 -
Blue

6

6

x 1.000.000 -
Violet 7 7 x 10.000.000 -
Grey 8 8 - -
White 9 9 - -
Golden - - : 10 5%
Silver - - : 100 10%
NULL - - - 25%

 

For the correct reading code, it is necessary to position the resistor with the silver or gold ring on the right and proceed with reading the colours from left to right. The first two rings correspond to units and tens. The third ring indicates the number of zeros that are to be added. While the first set of rings indicates the resistive value, the fourth ring indicates the tolerance, which is the percentage more or less of the actual value with respect to the value declared by the rings (+/-).


Let's make an example: suppose that the colours on the rings are as follows:

ORANGE - GREEN - BLUE - GOLDEN

In this case, the resistance value will be equal to (35000000 ± 5%) Ohm.

 

Resistors with 5 coloured rings

Below is the table with the five colours' Resistance, including the values (precision resistance)

COLORS

1ST RING 2ND RING 3RD RING 4TH RING 5TH RING
Black

-

0

0

x 1 -
Brown

1

1

1

x 10 1 %
Red
2 2 2 x 100 2 %
Orange 3 3 3 x 1.000 3 %
Yellow 4 4 4 x 10.000 -
Green 5 5 5 x 100.000 0,5 %
Blue 6 6 6 x 1.000.000 0,25 %
Violet 7 7 7 x 10.000.000 0,1 %
Grey 8 8 8 - 0,05 %
White 9 9 9 - -
Golden - - - : 10 5 %
Silver - - - : 100 10 %
NULL - - - - 25 %

The reading mode is identical to the one that is shown in the previous table.

  • Reading of surface mount resistors (SMD. See detail below)
    Surface mount resistors are marked by three numbers and should be read as follows: the first two digits are units and tens, and the third digit performs the number of zeros that should be added. Example: if on Resistance we find the number 105, it means that the value corresponding at 1-0-00000, so is 1MOhm The same coding is also used for surface mount capacitors (SMD), which is the value read is in pF (pico Farad). 

 

Resistors with 6 coloured rings

Below is the table with six colours of Resistance, including the values and temperature coefficient. This type of Resistance is not very frequently used and is only useful in certain situations.

COLORS

1ST RING
2ND RING 3RD RING 4TH RING 5TH RING 6TH RING
Black - 0 0 x 1 - 200 ppm/°K
Brown 1 1 1 x 10 1 % 100 ppm/°K
Red 2 2 2 x 100 2 % 50 ppm/°K
Orange 3 3 3 x 1.000 3 % 25 ppm/°K
Yellow 4 4 4 x 10.000 - 15 ppm/°K
Green 5 5 5 x 100.000 0.5 % -
Blue 6 6 6 x 1.000.000 0,25 %

10 ppm/°K

Violet 7 7 7 x 10.000.000 0,1 % 5 ppm/°K
Grey 8 8 8 - 0,05 % 1 ppm/°K
White 9 9 9 - - -
Golden - - - : 10 5 % -
Silver - - - : 100 10 % -
NULL - - - - 25 % -

Multiple
Attention to multiples that are used in the resistance values below the detail:
 

  • 1 KOhm = 1.000 Ohm

  • 1 MOhm = 1.000 KOhm = 1.000.000 Ohm

  • 1 GOhm = 1.000 MOhm = 1.000.000 KOhm = 1.000.000.000 Ohm

 

 

Decoding Surface-Mount Markings

SMD resistors, like those in 0603 or 0805 packages, have their own way of displaying their value. There are a few common marking methods you'll see on these resistors. They'll usually have three to four characters – numbers or letters – printed on top of the case.

If the three characters you're seeing are all numbers, you're probably looking at an E24-marked resistor. These markings actually share some similarities with the colour-band system used on the PTH resistors. The first two numbers represent the first two most-significant digits of the value. The last number represents a magnitude.

 

res

In the above example picture, resistors are marked 104, 105, 205, 751, and 754. The resistor marked with 104 should be 100kΩ (10x104), 105 would be 1MΩ (10x105), and 205 is 2MΩ (20x105). 751 is 750Ω (75x101), and 754 is 750kΩ (75x104).

Another common coding system is E96, and it's the most cryptic of the bunch. E96 resistors will be marked with three characters – two numbers at the beginning and a letter at the end. The two numbers tell you the first three digits of the value by corresponding to one of the not-so-obvious values on this lookup table.

 

CodeValueCodeValueCodeValueCodeValueCodeValueCodeValue
01 100 17 147 33 215 49 316 65 464 81 681
02 102 18 150 34 221 50 324 66 475 82 698
03 105 19 154 35 226 51 332 67 487 83 715
04 107 20 158 36 232 52 340 68 499 84 732
05 110 21 162 37 237 53 348 69 511 85 750
06 113 22 165 38 243 54 357 70 523 86 768
07 115 23 169 39 249 55 365 71 536 87 787
08 118 24 174 40 255 56 374 72 549 88 806
09 121 25 178 41 261 57 383 73 562 89 825
10 124 26 182 42 267 58 392 74 576 90 845
11 127 27 187 43 274 59 402 75 590 91 866
12 130 28 191 44 280 60 412 76 604 92 887
13 133 29 196 45 287 61 422 77 619 93 909
14 137 30 200 46 294 62 432 78 634 94 931
15 140 31 205 47 301 63 442 79 649 95 953
16 143 32 210 48 309 64 453 80 665 96 976
The letter at the end represents a multiplier, matching up to something on this table:
LetterMultiplierLetterMultiplierLetterMultiplier
Z 0.001 A 1 D 1000
Y or R 0.01 B or H 10 E 10000
X or S 0.1 C 100 F 100000
res1

So a 01C resistor is our good friend, 10kΩ (100x100), 01B is 1kΩ (100x10), and 01D is 100kΩ. Those are easy. Other codes may not be. 85A from the picture above is 750Ω (750x1) and 30C is actually 20kΩ.

 

Power Rating

The power rating of a resistor is one of the more hidden values. Nevertheless, it can be important, and it's a topic that'll come up when selecting a resistor type.

Power is the rate at which energy is transformed into something else. It's calculated by multiplying the voltage difference across two points by the current running between them and is measured in units of a watt (W). Light bulbs, for example, power electricity into light. But a resistor can only turn electrical energy running through it into heat. Heat isn't usually a nice playmate with electronics; too much heat leads to smoke, sparks, and fire!

Every resistor has a specific maximum power rating. In order to keep the resistor from heating up too much, it's important to make sure the power across a resistor is kept under its maximum rating. The power rating of a resistor is measured in watts, and it's usually somewhere between ⅛W (0.125W) and 1W. Resistors with power ratings of more than 1W are usually referred to as power resistors and are used specifically for their power-dissipating abilities.

 

Finding a resistor's power rating

A resistor's power rating can usually be deduced by observing its package size. Standard through-hole resistors usually come with ¼W or ½W ratings. More special purpose, power resistors might actually list their power rating on the resistor.

 

res2

These power resistors can handle a lot more power before they blow. From top-right to bottom-left, there are examples of 25W, 5W and 3W resistors, with values of 2Ω, 3Ω 0.1Ω and 22kΩ. Smaller power resistors are often used to sense current.

 

The power ratings of surface mount resistors can usually be judged by their size as well. Both 0402 and 0603-size resistors are usually rated for 1/16W, and 0805s can take 1/10W.

 

Measuring power across a resistor

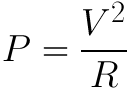
Power is usually calculated by multiplying voltage and current (P = IV). But, by applying Ohm's law, we can also use the resistance value in calculating power. If we know the current running through a resistor, we can calculate the power as follows:

 res18

 

Or, if we know the voltage across a resistor, the power can be calculated as:

res19

 

Series and Parallel Resistors

Resistors are paired together all the time in electronics, usually in either a series or parallel circuit. When resistors are combined in series or parallel, they create a total resistance, which can be calculated using one of two equations. Knowing how resistor values combine comes in handy if you need to create a specific resistor value.

 

Series resistors

When connected in series, resistor values add up.

 

res3

res4

N resistors in series. The total Resistance is the sum of all series resistors.

 

So, for example, if you just have to have a 12.33kΩ resistor, seek out some of the more common resistor values of 12kΩ and 330Ω, and butt them up together in series.

 

Parallel resistors

Finding the Resistance of resistors in parallel isn't relatively so easy. The total Resistance of N resistors in parallel is the inverse of the sum of all inverse resistances. This equation might make more sense than that last sentence:

 

res5

res6

N resistors in parallel. To find the total Resistance, invert each resistance value, add them up, and then invert that.

(The inverse of Resistance is actually called conductance, so put more succinctly: the conductance of parallel resistors is the sum of each of their conductances).

As a special case of this equation: if you have just two resistors in parallel, their total Resistance can be calculated with this slightly-less-inverted equation:

 

res7

 

As an even more special case of that equation, if you have two parallel resistors of equal value, the total Resistance is half of their value. For example, if two 10kΩ resistors are in parallel, their total Resistance is 5kΩ.

A shorthand way of saying two resistors are in parallel is by using the parallel operator: ||. For example, if R1 is in parallel with R2, the conceptual equation could be written as R1||R2. Much cleaner and hides all those nasty fractions!

 

Resistor networks

As a special introduction to calculating total resistances, electronics teachers just love to subject their students to finding that of crazy, convoluted resistor networks.

A tame resistor network question might be something like: "what's the resistance from terminals A to B in this circuit?"

 

res8

To solve such a problem, start at the back-end of the circuit and simplify towards the two terminals. In this case, R7, R8 and R9 are all in series and can be added together. Those three resistors are in parallel with R6, so those four resistors could be turned into one with a resistance of R6||(R7+R8+R9). Making our circuit:res9

Now the four right-most resistors can be simplified even further. R4, R5, and our conglomeration of R6 - R9 are all in series and can be added. Then those series resistors are all in parallel with R3.

 

res10

And that's just three series resistors between the A and B terminals. Add them on up! So the total Resistance of that circuit is R1+R2+R3||(R4+R5+R6||(R7+R8+R9)).

 

Example Applications

Resistors exist in just about every electronic circuit ever. Here are a few examples of circuits which heavily depend on our resistor friends.

 

LED Current Limiting

Resistors are key in making sure LEDs don't blow up when power is applied. Connecting a resistor in series with an LED allows the current flowing through the two components to be limited to a safe value.

 

 

res11

 

Below is the automatic calculation resistance for diode led.

 

When sizing out a current-limiting resistor, look for two characteristic values of the LED: the typical forward voltage and the maximum forward current. The typical forward voltage is the voltage which is required to make an LED light up, and it varies (usually somewhere between 1.7V and 3.4V) depending on the colour of the LED. The maximum forward current is usually around 20mA for basic LEDs; continuous current through the LED should always be equal to or less than that current rating.

Once you've gotten ahold of those two values, you can size up a current-limiting resistor with this equation:

 

res12

 

VS is the source voltage – usually a battery or power supply voltage. VF and IF are the LED's forward voltage and the desired current that runs through it.

For example, assume you have a 9V battery to power an LED. If your LED is red, it might have a forward voltage of around 1.8V. If you want to limit the current to 10mA, use a series resistor of about 720Ω.

 

res13

 

Voltage Dividers

A voltage divider is a resistor circuit which turns a large voltage into a smaller one. Using just two resistors in series, an output voltage that's a fraction of the input voltage can be created.

 

Here's the voltage divider circuit:

 

res14

Two resistors, R1 and R2, are connected in series, and a voltage source (Vin) is connected across them. The voltage from Vout to GND can be calculated as follows:

 

res15

 

For example, if R1 was 1.7kΩ and R2 was 3.3kΩ, a 5V input voltage could be turned into 3.3V at the Vout terminal.

Voltage dividers are very handy for reading resistive sensors, like photocells, flex sensors, and force-sensitive resistors. One-half of the voltage divider is the sensor, and the part is a static resistor. The output voltage between the two components is connected to an analogue-to-digital converter on a microcontroller (MCU) to read the sensor's value.

 

res16

 

Here a resistor R1 and a photocell create a voltage divider to create a variable voltage output.

Pull-up Resistors

A pull-up resistor is used when you need to bias a microcontroller's input pin to a known state. One end of the resistor is connected to the MCU's pin, and the other end is connected to a high voltage (usually 5V or 3.3V).

Without a pull-up resistor, inputs on the MCU could be left floating. There's no guarantee that a floating pin is either high (5V) or low (0V).

Pull-up resistors are often used when interfacing with a button or switch input. The pull-up resistor can bias the input pin when the switch is open. And it will protect the circuit from a short when the switch is closed.

 

res17

 

In the circuit above, when the switch is open, the MCU's input pin is connected through the resistor to 5V. When the switch closes, the input pin is connected directly to GND.

The value of a pull-up resistor doesn't usually need to be anything specific. But it should be high enough that not too much power is lost if 5V or so is applied across it. Usually, values around 10kΩ work well.

 

 

 

www.bennypass.it

favicon bacd

+(39) 347 051 5328

Italy - Kazakhstan

09.00am to 18.00pm

About

We offer the best and economical solutions, backed by 27+ years of experience and international standards knowledge, echnological changes, and industrial systems.

Marketing Materials

Spring Renovation
Industry
US Gas Company
Construct
Plus Project
Vam Drilling Service
X Project
X Project
Cabrrus Training

Marketing Materials1

Spring Renovation
Industry
US Gas Company
Construct
Plus Project
Vam Drilling Service
ultrasonic sensor
ultrasonic sensor
Cabrrus Training