6.3 BASIC REGULATION THEORY 

It follows from the centrifugal compressor theory, by the law of similarities, that the surge points in a single stage compressor at the various speeds form a parabola with the apex at the origin and axis coinciding with the axis of ordinatescn1the polytropic head - volumetric capacity plane. In fact the following laws apply for the surge point at any speed:

(1) Q1 = K' N

(2) Hp = KN2

From equations (1) and (2), by substituting N, one gets the equation for the surge curve:

(3) Hp = K" Q2

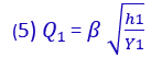
It is known that the polytropic head is obtained from the following formula:

compressor68

Should the suction capacity be measured with a calibrated orifice, we have:

compressor68b

where; h = orifice pressure loss in mmH2O

 compressor68c

 

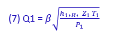
Substituting in equation (5) the Y1 value obtained from equation (6), one has:

compressor68d

where h1 is in Kg/cm

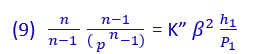
Again substituting the n. (4) and (7) formules in equation (3):

compressor68e

Simplifying:

compressor68f

or:

compressor68g

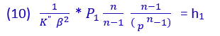
To avoid surging in any suction or speed conditions of the machine, it can be noted from this formula that it is sufficient to see that:

compressor68h

or:

compressor68i

 

 Formula (11) is important for the following reasons:

  1. It is independent of the speed of the compressor
  2. It requires only measurement of the calibrated orifice pressure loss (h), without any pressure, temperature, gas composition compensation or linearization.
  3. It is influenced by the gas composition only through n; however variation of n has little influence on the quantity.

compressor68l

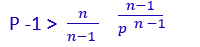
In short, formula (11) employs the compression ratio sensitive to the suction and speed conditions to compensate the capacity. Although considerably simplified formula (11) is still too complex to be realized with very simple instruments. If the compression ratio is small enough, as in the case of single-stage and two-stage compressors, it is possible

to substitute the quantity

compressor68l

with the quantity p - 1 without making any great error. However, any error is to the advantage of greater safet

being

compressor68m

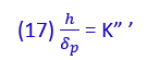
Therefore formula (11) becomes

compressor68n

let us make

compressor68o

The percentage error which is made is obtained from the following expression:

compressor68p

 Expression n. (13) involves a percentage error in the suction capacity

compressor68q

In general one can say that the error in capacity si approximately half of that made substituting p - 1 with

compressor68rcompressor68s

Formula (12) can also be written as:

compressor68t

or:

compressor68u

This is the equation of a parabola (in the plane p,Q1) with the origin at the point with coordinates p = 1; Q1 = 0 (see figure. 6.2)

compressor69

It demonstrates the extreme simplicity of this type of antisurge system which collects all the information necessary to protect the machine from the process with only two instruments (two differential transmitters) .

The two signals are sent to a divider which works out the ratio. This ratio is sent to a regulator, on which the K" ' value, i.e. the antisurge regulation set-point, is set.

The regulator, acting on the by-pass valve, keeps the ratio "from going below the established set-point, thus fulfilling the requirements.

Hereafter (see figure. 6.3) a typical diagram

compressor69a

compressor70

 

 

www.bennypass.it

 

favicon bacd

+(39) 347 051 5328

Italy - Kazakhstan

09.00am to 18.00pm

About

We offer the best and economical solutions, backed by 27+ years of experience and international standards knowledge, echnological changes, and industrial systems.

Marketing Materials

Spring Renovation
Industry
US Gas Company
Construct
Plus Project
Vam Drilling Service
X Project
X Project
Cabrrus Training

Marketing Materials1

Spring Renovation
Industry
US Gas Company
Construct
Plus Project
Vam Drilling Service
ultrasonic sensor
ultrasonic sensor
Cabrrus Training