|
Temperature Cycling of battery Temperature cycling of batteries involves repeatedly exposing cells to high and low temperatures (e.g., to -40°C +72°C) to test safety, reliability, and lifespan. Extreme cold causes ion sluggishness and capacity loss, while high temperatures accelerate degradation, causing chemical reactions that increase capacity fade and internal resistance. Key Effects of Temperature Cycling
Temperature Cycling of battery
Testing Objectives
1. Temperature Cycling as a Stress Test
This is a controlled laboratory procedure used by manufacturers to ensure safety and reliability. The battery is placed in a Climatic Testing Chamber and subjected to repeated swings between extreme temperatures (e.g., -40°C to +70°C).
2. Thermal Effects During Electrical Cycling This refers to how temperature fluctuates naturally while you use the battery (charging and discharging).
Key Performance Impacts
|
|
AC Internal Resistance (AC-IR)
AC Internal Resistance (AC-IR) is a key battery health parameter measured using a high-frequency (typically 1kHz) AC signal to determine ohmic resistance, excluding electrochemical reaction delays. It acts as a reliable, rapid indicator of battery degradation and degradation-induced heat, usually measured in milliohms (mΩ).
Key Characteristics of AC-IR
AC-IR vs. DC-IR
Why It Matters
For precise diagnosis, professional battery testers or chargers (like the XTAR Dragon) often use a 4-wire (Kelvin) measurement method to eliminate the resistance of the test leads themselves. |
|
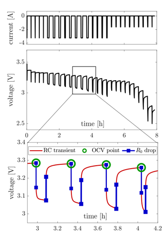
Pulse Testing of Battery
Pulse testing of a battery is a dynamic diagnostic method that applies short, high-current pulses to evaluate a battery's condition under stress, rather than just measuring resting voltage. It simulates real-world, high-demand applications (like engine cranking or motor acceleration) to determine capacity, internal resistance, and state of health (SOH). Key Aspects of Pulse Testing
Benefits of Pulse Testing
Key Types of Pulse Testing
Why Use Pulse Testing?
|
|
Resistor Banks Switches and Cooling Fans
Resistor banks, switches, and cooling fans are critical, integrated components in load banks, which are used to test and calibrate electrical power sources like generators, UPS systems, and batteries. These systems simulate real-world electrical loads by converting electrical energy into heat, which must be safely dissipated. 1. Resistor Banks (Load Elements)
2. Load Bank Systems A load bank is a device used to simulate an electrical load for testing power sources like generators or UPS systems.
3. Switches and Control Systems
4. Cooling Fans (Forced Air Cooling)
5. Fan Speed Control (Automotive/HVAC) In cars, a resistor bank is often used to control the speed of a blower or radiator fan.
6. Integration in Load Banks
Common Terminology
Summary of Component Roles
|
|
Constant Power (CP)
Constant Power (CP) mode in electronic loads and power supplies maintains a constant power output (P = V x I) regardless of variations in input voltage or current. It is primarily used to test power supplies, batteries, and fuel cells by simulating constant power loads like DC/DC converters. Key Aspects of Constant Power (CP)
It is one of the four main electronic load modes, alongside Constant Current (CC), Constant Voltage (CV), and Constant Resistance (CR).
How It Works
Key Applications
CP mode is essential for simulating or testing devices that naturally consume a fixed amount of power regardless of input fluctuations:
Benefits
|
We offer the best and economical solutions, backed by 27+ years of experience and international standards knowledge, echnological changes, and industrial systems.